dinsdag 5 december 2017
Dat kan ook...
\(
\eqalign{
& x^2 - 5x + 2\frac{3}
{4} = 0 \cr
& 4x^2 - 20x + 11 = 0 \cr
& \left( {2x - 5} \right)^2 - 25 + 11 = 0 \cr
& (2x - 5)^2 - 14 = 0 \cr
& 2x - 5 = \pm \sqrt {14} \cr
& x = 2\frac{1}
{2} - \sqrt {14} \vee x = 2\frac{1}
{2} + \sqrt {14} \cr}
\)
woensdag 22 november 2017
Klopt dat wel?
"Let op! In sommige boeken worden linksscheef en rechtsscheef precies andersom gebruikt. Voor de vragen die je hier maakt gebruiken we echter altijd wat hier in de theorie staat."
rechts-scheve verdeling
- het gemiddelde en de mediaan liggen rechts van de top
- de staart rechts zorgt voor een relatief grote standaardafwijking

Een asymmetrische of scheve verdeling wordt rechtsscheef genoemd als de hogere waarden in de verdeling oververtegenwoordigd zijn t.o.v. een symmetrische verdeling. De staart van de verdeling ligt dan naar rechts.
maandag 20 november 2017
Week 46
zondag 12 november 2017
Week 45

"Je verdeelt 32 rode rozen over 3 vazen waarbij in elke vaas minstens 5 rozen moeten komen. Om hoeveel manieren kan de rozen verdelen over de vazen?"
combinaties en herhalingscombinaties
vrijdag 27 oktober 2017
maandag 18 september 2017
zaterdag 16 september 2017
Wat is een functie?
- Humpty dumpty
- ?f(x)=
- Zo een formule ding
- Een functie is een voorschrift waarin staat hoe een grafiek eruit ziet, vaak zo kort mogelijk opgeschreven in de vorm van een formule
- Iets wat met verschillende waarden verschillende outputs geeft
- Geen idee? f(x)=…
- Geen idee
- Een functie geeft iets aan over een lijn
- Variabele in een formule
- Variabele in een formule
- Een bepaalde hoeveelheid om een formule te berekenen
- Een element dat afhankelijk is van een ander element. De uitkomst is dan y.
- Een formule of een gegeven formule
- Een element dat afhankelijk is van een ander element. De uitkomst is dan y.
- De F(x)=b+ac hierin is functie dus zo’n formule is een formule
- Een functie is het onbekende (x)
dinsdag 12 september 2017
Een instructieles
Een instructieles voor 5 HAVO wiskunde B over het opstellen van formules van sinusoïden. Dat staat in hoofdstuk 8 van deel 2. We hebben niet al te veel tijd dus we moeten een beetje aanpakken. Dat heeft ook wel zin want deze paragraaf is ongeveer 1/3-deel van het hoofdstuk.
Deel eerst de opdrachten uit:
De leerlingen kunnen dan meelezen, meedenken en meeschrijven.
Vervolgens kan je per opgave de zaak bespreken. Dat kan je doen als een monoloog, maar een klassegeprek is nog beter natuurlijk... geef de leerlingen ook tijd om mee te doen en bouw je betoog langzaam op. Stel vragen als: hoe los je dit op? Hoe weet je dit? Waarom is... enz.

Aan het eind kan je dan de opgaven met de uitwerkingen uitdelen. Dat lijkt niet nodig maar ik zou dat toch doen. Het is bij de uitleg belangrijker om mee te denken dan om alles te moeten administreren. Dat soort wiskundeonderwijs is niet meer van deze tijd...:-)
Deze les had ik gisteren willen geven...:-)
Deel eerst de opdrachten uit:
De leerlingen kunnen dan meelezen, meedenken en meeschrijven.
Vervolgens kan je per opgave de zaak bespreken. Dat kan je doen als een monoloog, maar een klassegeprek is nog beter natuurlijk... geef de leerlingen ook tijd om mee te doen en bouw je betoog langzaam op. Stel vragen als: hoe los je dit op? Hoe weet je dit? Waarom is... enz.
De presentatie kan je vinden op deze pagina. Gebruik F11 voor een volledig beeld op de beamer met whiteboard of gebruik een smartboard.Dat uitleggen, bespreken en de interactie neemt wel enig tijd in beslag, maar aan het eind is alle theorie aan bod geweest en zijn alle mogelijke problemen voorbij gekomen.

Aan het eind kan je dan de opgaven met de uitwerkingen uitdelen. Dat lijkt niet nodig maar ik zou dat toch doen. Het is bij de uitleg belangrijker om mee te denken dan om alles te moeten administreren. Dat soort wiskundeonderwijs is niet meer van deze tijd...:-)
Deze les had ik gisteren willen geven...:-)
maandag 4 september 2017
zaterdag 2 september 2017
dinsdag 29 augustus 2017
Alles klaar:-)
| PERIODE | 4 HAVO wiskunde A | 4 HAVO wiskunde B | ACTIVITEIT | GEKOPPELD |
| 1 |
Toets 1 4 oktober 2017 |
Toets1 3 oktober 2017 |
![]() |
![]() |
| Instroommodule DWO | Instroommodule DWO |
![]() |
![]() |
|
| 2 |
Toets 2
|
Toets 2 |
![]() |
![]() |
| Excelopdracht | DWO opdrachten |
![]() |
![]() |
|
| 3 | Toets 3 | Toets 3 |
![]() |
![]() |
| Rekentoets B | PO probleemaanpak |
![]() |
![]() |
|
| 4 | Toets 4 | Toets 4 |
![]() |
![]() |
| PO statistiek | PO transformaties |
![]() |
![]() |
Van buitenaf
Als je in Peppels eenmaal een module hebt klaargezet kan je inhoud niet meer
wijzigen. Daar is vast over nagedacht maar handig is het niet. Tenzij je
plaatjes gebruikt in je opdracht. Dan kan je altijd nog iets verzinnen!

Opgelost...

Opgelost...
vrijdag 25 augustus 2017
donderdag 24 augustus 2017
woensdag 23 augustus 2017
Peppels
Ik heb inmiddels de jaarplanners in Peppels staan. Gekoppeld aan mijn lesgroepen. Voor periode I t/m IV heb ik voor 4 HAVO wiskunde A en 4 HAVO wiskunde B de proeven en bewijsmomenten aangemaakt en gekoppeld aan mijn lesgroepen.(*)

Mission accomplished!
(*) Dat heeft waarschijnlijk niet erg veel zin voor blok 3 t/m 4 als je steeds een nieuw rooster krijgt.

Mission accomplished!
(*) Dat heeft waarschijnlijk niet erg veel zin voor blok 3 t/m 4 als je steeds een nieuw rooster krijgt.
zaterdag 5 augustus 2017
vrijdag 4 augustus 2017
dinsdag 1 augustus 2017
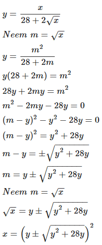
Wortels en notaties
Was dat nu goed of fout?
Je vindt als antwoord \(
\sqrt {\frac{{1 + \frac{2}
{3}\sqrt 2 }}
{2}}
\), maar 't antwoordmodel zegt dat het\(
\frac{1}
{6}\sqrt {18 + 12\sqrt 2 }
\) moet zijn. Maar is dat dan niet hetzelfde? Hoe kan je dat weten en hoe kan je dit soort misverstanden voorkomen? En waarom geeft het antwoordmodel dit antwoord? Klopt dat wel? Zijn daar afspraken over misschien?
Hoe zit dat nu met die geneste wortels? Moet je dat goed vinden?:-) Of is er geen ontkomen aan?:-)
Naschrift
\(
\eqalign{
& \sqrt {\frac{{1 + \frac{2}
{3}\sqrt 2 }}
{2}} = \cr
& \sqrt {\frac{1}
{2} + \frac{1}
{3}\sqrt 2 } \, = \cr
& \sqrt {\frac{{18}}
{{36}} + \frac{{12}}
{{36}}\sqrt 2 } \, = \cr
& \frac{1}
{6}\sqrt {18 + 12\sqrt 2 } \cr}
\)
Die wortels zijn hetzelfde. Dat gaat nog wel...
Naschrift 2
Het ontnesten van de wortel:
\(
\begin{array}{l}
\sqrt {18 + 12\sqrt 2 } = \sqrt a + \sqrt b \\
18 + 2\sqrt {72} = a + 2\sqrt {ab} + b \\
\left\{ \begin{array}{l}
a + b = 18 \\
ab = 72 \\
\end{array} \right. \Rightarrow \sqrt 6 + \sqrt {12} \\
\end{array}
\)
Zodat:
\(
\eqalign{
& \frac{1}
{6}\sqrt {18 + 12\sqrt 2 } = \cr
& \frac{{\sqrt 6 + \sqrt {12} }}
{6} = \cr
& \frac{1}
{6}\sqrt 6 + \frac{1}
{3}\sqrt {3} \cr}
\)
Dat kan, maar dat kan niet altijd...
Je vindt als antwoord \(
\sqrt {\frac{{1 + \frac{2}
{3}\sqrt 2 }}
{2}}
\), maar 't antwoordmodel zegt dat het\(
\frac{1}
{6}\sqrt {18 + 12\sqrt 2 }
\) moet zijn. Maar is dat dan niet hetzelfde? Hoe kan je dat weten en hoe kan je dit soort misverstanden voorkomen? En waarom geeft het antwoordmodel dit antwoord? Klopt dat wel? Zijn daar afspraken over misschien?
Hoe zit dat nu met die geneste wortels? Moet je dat goed vinden?:-) Of is er geen ontkomen aan?:-)
Naschrift
\(
\eqalign{
& \sqrt {\frac{{1 + \frac{2}
{3}\sqrt 2 }}
{2}} = \cr
& \sqrt {\frac{1}
{2} + \frac{1}
{3}\sqrt 2 } \, = \cr
& \sqrt {\frac{{18}}
{{36}} + \frac{{12}}
{{36}}\sqrt 2 } \, = \cr
& \frac{1}
{6}\sqrt {18 + 12\sqrt 2 } \cr}
\)
Die wortels zijn hetzelfde. Dat gaat nog wel...
Naschrift 2
Het ontnesten van de wortel:
\(
\begin{array}{l}
\sqrt {18 + 12\sqrt 2 } = \sqrt a + \sqrt b \\
18 + 2\sqrt {72} = a + 2\sqrt {ab} + b \\
\left\{ \begin{array}{l}
a + b = 18 \\
ab = 72 \\
\end{array} \right. \Rightarrow \sqrt 6 + \sqrt {12} \\
\end{array}
\)
Zodat:
\(
\eqalign{
& \frac{1}
{6}\sqrt {18 + 12\sqrt 2 } = \cr
& \frac{{\sqrt 6 + \sqrt {12} }}
{6} = \cr
& \frac{1}
{6}\sqrt 6 + \frac{1}
{3}\sqrt {3} \cr}
\)
Dat kan, maar dat kan niet altijd...
vrijdag 21 juli 2017
Bedankt!

- Met korting van de vakantiebonus.
Bedankt!
donderdag 20 juli 2017
Zo geef je jezelf een loonsverhoging
"Hoeveel uren ik toen werkte? Geen idee. En dat is de kern van het
probleem. Velen van ons volgen deze filosofie: je werkgever stort iedere
maand een smak geld (of je eigen bedrijf keert uit, nu of in de
toekomst) en in ruil daarvoor geef jij je leven"
bron
Dat was nog 's een handig artikel. Dat is ook een manier om je leven vooral niet ingewikkelder te maken dan strikt noodzakelijk. Bij mijn huidige taakomschrijving (taakkaart) werk ik 16 uur per week. Misschien is dit nu wel het moment me daar dan ook maar 's strikt aan te gaan houden ook. Ik ben Gekke Henkie niet...:-)
Bedankt!
bron
Dat was nog 's een handig artikel. Dat is ook een manier om je leven vooral niet ingewikkelder te maken dan strikt noodzakelijk. Bij mijn huidige taakomschrijving (taakkaart) werk ik 16 uur per week. Misschien is dit nu wel het moment me daar dan ook maar 's strikt aan te gaan houden ook. Ik ben Gekke Henkie niet...:-)
Bedankt!
donderdag 13 juli 2017
Out of Office
Hallo,
Op dit moment is het zomervakantie. Op 21 augustus vanaf
8:30 uur ben ik weer bereikbaar.
Met groet,
W.v.Ravenstein
CITAAT
After a while, just staying alive becomes a full-time
job. No wonder we need a vacation.
Michael Zadoorian, The Leisure Seeker
Dit is een automatisch gegenereerd bericht.
woensdag 12 juli 2017
Doe maar normaal dan doe je gek genoeg...
"Niet langer wordt uitgegaan van kennisdomeinen, de eigenheid en positie van de vakken in het voortgezet onderwijs blijft behouden, en op verzoek van de Tweede Kamer worden geen ontwikkelteams opgezet voor persoonsvorming en vakoverstijgende vaardigheden."
bron
bron
dinsdag 11 juli 2017
dinsdag 4 juli 2017
The Description of the Wonderful Canon of Logarithms
Since nothing is more tedious, fellow mathematicians, in the practice of the mathematical arts, than the great delays suffered in the tedium of lengthy multiplications and divisions, the finding of ratios, and in the extraction of square and cube roots...
bron
bron
zondag 2 juli 2017
Lucifers
Op Twitter:

Ik zeg tegen leerlingen altijd, dat als je er in eerste instantie niet uitkomt, neem een concreet voorbeeld. Ik nam voor de gevraagde hoek maar 's even100o en wat denk je? Dat was ook het antwoord. Klaar...

Ik zeg tegen leerlingen altijd, dat als je er in eerste instantie niet uitkomt, neem een concreet voorbeeld. Ik nam voor de gevraagde hoek maar 's even
zaterdag 1 juli 2017
De stand van het land
Hoe vaak wordt er iemand vermoord in Nederland? Hoeveel werklozen zijn
er? En nam het aantal moslims in Nederland de afgelopen jaren enorm toe?
Teken zelf in de grafieken en test zo je kennis over de afgelopen
kabinetsperiode.
donderdag 29 juni 2017
V A K A N T I E
It#39;s finally #Summer Let#39;s go exploring! pic.twitter.com/DDRW8yNM0M— Calvin and Hobbes (@Calvinn_Hobbes) 21 juni 2017
zondag 25 juni 2017
Week 25
Een boer verkoopt een schaap voor f 18,56 en wint daarbij zooveel percent als het schaap hem guldens gekost heeft.
- Voor hoeveel heeft hij dat schaap ingekocht?
donderdag 22 juni 2017
zaterdag 17 juni 2017
Week 24
Bert heeft 10 kaarten. Op elke kaart staat een ander getal. Het zijn de getallen 1 t/m 10.
Hij moet op zo veel mogelijk verschillende manieren een combinatie van 4
kaarten maken, waarvan de getallen samen telkens 21 zijn. Eenzelfde
combinatie in een andere volgorde telt niet als een nieuwe combinatie
(dus bijvoorbeeld 1+5+7+8 en 1+8+5+7 gelden als dezelfde combinatie).
- Hoeveel verschillende combinaties zijn er mogelijk?
maandag 5 juni 2017
zaterdag 3 juni 2017
Week 22
In de figuur 1 zitten 9 rechthoeken verborgen: 4
vierkantjes van 1 bij 1, twee rechthoeken van 1 bij 2, twee rechthoeken
van 2 bij 1 en een vierkant van 2 bij 2.


- Hoeveel rechthoeken zitten er verstopt in figuur 2?
donderdag 25 mei 2017
Abonneren op:
Reacties (Atom)



















